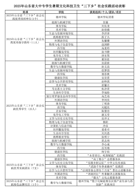
近日,团省委、省学联联合省委宣传部、省教育厅等单位对2025年暑假“三下乡”社会实践活动中表现突出的优秀集体、个人和项目进行通报表扬。健康医学院“南丁格尔”志愿服务队获评省级优秀实践团队,学院团委书记董保住获评省级优秀指导教师,何宇瑄、安芸萱两名同学获评省级优秀学生。

2025年暑期,健康医学院紧扣“青春为中国式现代化挺膺担当”主题,依托医学学科优势,推动“南丁格尔”精神与专业实践深度融合,开展了一系列卓有成效的社会实践活动。学院领导全程统筹策划与组织实施,以丰富的经验和专业的指导为活动顺利开展保驾护航。“南丁格尔”志愿服务队立足专业特长,深入乡村及社区养老服务中心,开展多项健康服务:为村民测量血压、血糖,普及慢性病防治知识;为行动不便的老人提供上门问诊;通过情景模拟教学,传授心肺复苏、海姆立克急救法等实用技能,圆满完成各项任务。团队凭借扎实的专业知识筑牢基层健康防线,生动诠释了“健康所系,性命相托”的医学誓言,为全院学子树立了学以致用的榜样,展现出新时代医学生的担当与风采。
此次“三下乡”社会实践活动,进一步凝聚了学院实践育人共识,夯实了“知行合一”的育人根基,擦亮了“南丁格尔”志愿服务品牌。下一步,健康医学院将以此为契机,持续深化社会实践与专业教育融合,引导更多青年学子扎根基层、服务人民,为推进健康中国建设注入青春力量。